IT 기획의 길

백준 10799번 쇠막대기 [JAVA] 본문

알고리즘(백준)/스택,큐,덱

백준 10799번 쇠막대기 [JAVA]

완벽하기 쉽지 않지만 완벽해지려고 노력해야 한다 2021. 1. 4. 17:37

 

문제

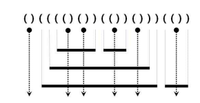
여러 개의 쇠막대기를 레이저로 절단하려고 한다. 효율적인 작업을 위해서 쇠막대기를 아래에서 위로 겹쳐 놓고, 레이저를 위에서 수직으로 발사하여 쇠막대기들을 자른다. 쇠막대기와 레이저의 배치는 다음 조건을 만족한다.

  • 쇠막대기는 자신보다 긴 쇠막대기 위에만 놓일 수 있다. - 쇠막대기를 다른 쇠막대기 위에 놓는 경우 완전히 포함되도록 놓되, 끝점은 겹치지 않도록 놓는다.
  • 각 쇠막대기를 자르는 레이저는 적어도 하나 존재한다.
  • 레이저는 어떤 쇠막대기의 양 끝점과도 겹치지 않는다. 

아래 그림은 위 조건을 만족하는 예를 보여준다. 수평으로 그려진 굵은 실선은 쇠막대기이고, 점은 레이저의 위치, 수직으로 그려진 점선 화살표는 레이저의 발사 방향이다.

 

 

이러한 레이저와 쇠막대기의 배치는 다음과 같이 괄호를 이용하여 왼쪽부터 순서대로 표현할 수 있다.

  1. 레이저는 여는 괄호와 닫는 괄호의 인접한 쌍 ‘( ) ’ 으로 표현된다. 또한, 모든 ‘( ) ’는 반드시 레이저를 표현한다.
  2. 쇠막대기의 왼쪽 끝은 여는 괄호 ‘ ( ’ 로, 오른쪽 끝은 닫힌 괄호 ‘) ’ 로 표현된다. 

위 예의 괄호 표현은 그림 위에 주어져 있다.

쇠막대기는 레이저에 의해 몇 개의 조각으로 잘려지는데, 위 예에서 가장 위에 있는 두 개의 쇠막대기는 각각 3개와 2개의 조각으로 잘려지고, 이와 같은 방식으로 주어진 쇠막대기들은 총 17개의 조각으로 잘려진다. 

쇠막대기와 레이저의 배치를 나타내는 괄호 표현이 주어졌을 때, 잘려진 쇠막대기 조각의 총 개수를 구하는 프로그램을 작성하시오.

 

 

입력

한 줄에 쇠막대기와 레이저의 배치를 나타내는 괄호 표현이 공백없이 주어진다. 괄호 문자의 개수는 최대 100,000이다.

출력

잘려진 조각의 총 개수를 나타내는 정수를 한 줄에 출력한다.

 

알고리즘 설계

 

이 문제를 보고 가장 먼저 생각난건 쇠막대기 개수와 레이저 개수를 구분하는 것 이였다

쇠막대기와 레이저를 구분하는 방법은 간단하다

( 가 왔는데 바로 다음이 )면 그건 레이저이고 )가 아니면 그건 쇠막대기다

여기까지는 쉬웠다 근데 잘려진 조각의 총 개수를 구하는 방법은 쉽게 생각 나지 않았다 

그 이유는 무작정 쇠막대기의 개수와 레이저의 개수와의 규칙을 찾을라고 했던게 문제였다 

 

알고 보면 간단하였다 

 

1. 막대기를 거시적인 관점에서 접근하지말고 하나의 막대기로 접근해야 한다 

하나의 막대기에 n개의 레이저를 쏘면 n+1개의 조각이 생긴다

2. 또한 레이저 1개당 자를 수 있는 조각 수는 스택에 담긴 막대기의 수이다 

3. 또한 레이저와 상관없이 생기는 조각이 있다 

예를 들어 어떤 조각에 레이저가 3개 쏘이면 4개의 조각이 생긴다 

그림으로 표현하자면 세모부분이 레이저와 상관없이 생기는 조각이다

1,2,3을 종합해보면 이러한 코드가 나온다

 

 

import java.util.*;
import java.io.*;

public class Main{
    public static void main(String[] args) throws IOException {
        BufferedReader bf = new BufferedReader(new InputStreamReader(System.in)); //선언
        String s = bf.readLine(); //String
        Stack<Character> stack=new Stack<Character>();

        int result=0; //잘려진 조각의 총 개수

        for(int i=0;i<s.length();i++){
            if(s.charAt(i)=='('){   //일단 stack에 넣자
                stack.push('(');
            }
            else if(s.charAt(i)==')'){
                if(s.charAt(i-1)=='('){ // 이경우 레이저 이다
                    stack.pop(); //그러므로 아까 넣은 '('를 빼주고
                    result+=stack.size(); //이 레이저로 자를수 있는 part는 현재 스택에 있는 쇠막대기 개수이다
                }
                else if(s.charAt(i-1)!='('){ //이 경우 쇠막대기이다
                    result+=1;  //레이저와 상관없이 쇠막대기가 1개더 쪼개지므로 +1
                    stack.pop();  //쇠막대기가 끝났으므로 stack에서 pop해준다

                }
            }
        }

        System.out.print(result);
    }

}

 

마냥 쉽지많은 않은 문제였다. 항상 느끼는건데 코드 쓰는건 쉬운데 그전에 알고리즘을 설계하는일이 어려운것같다

'알고리즘(백준) > 스택,큐,덱' 카테고리의 다른 글

백준 1406번 에디터 [JAVA]  (0) 2021.01.02
백준 9012번 괄호 [JAVA]  (0) 2021.01.02
백준 9093번 단어뒤집기 [JAVA]  (0) 2021.01.01